-
Климатические агрегаты крышного типа TIREX производства ООО «Баир Вест» предназначены для вентиляции, обогрева и охлаждения помещений одноэтажных зданий с высокими потолками. К таким помещениям можно отнести производственные и складские помещения, спортивные и выставочные центры, супермаркеты и др.
ВОДЯНОЙ НАГРЕВ ПРЯМОГО ТИПА (ТЕПЛОНОСИТЕЛЬ: СЕТЕВАЯ ВОДА)
При жидкостном нагреве в агрегатах климатических наружного исполнения TIREX (руфтопах), в качестве теплоносителя может использоваться вода (при расположении теплообменника в помещении), либо незамерзающие жидкости при наружном расположении теплообменника (растворы пропилен- или этиленгликоля). В зависимости от теплоносителя и расположения нагревателя будет определяться и схема узла регулирования. При размещении теплообменника в помещении в качестве теплоносителя будет использоваться вода, подаваемая из тепловых сетей здания.
УЗЛЫ РЕГУЛИРОВАНИЯ ТЕПЛОНОСИТЕЛЯ
При использовании жидкостных теплообменников в агрегатах климатической серии TIREX узлы регулирования теплоносителя могут быть двух исполнений - с узлом, встроенным в корпус АК (встроенный узел регулирования) или вынесенным за пределы корпуса (выносной узел регулирования).
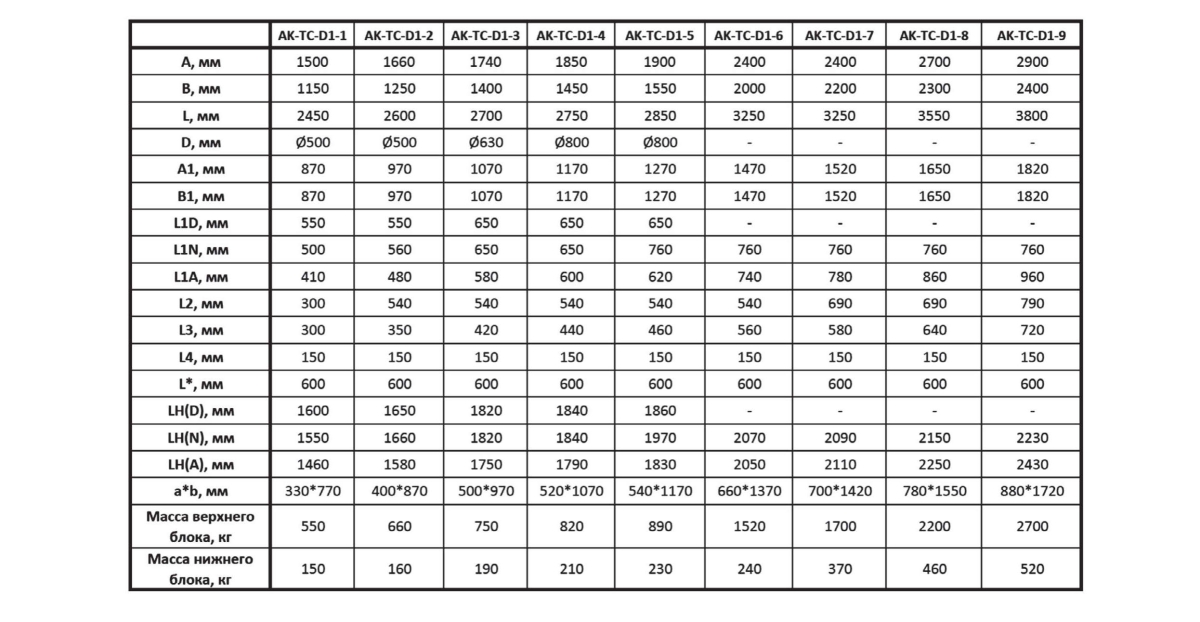
ОСНОВНЫЕ ПАРАМЕТРЫ И ХАРАКТЕРИСТИКИ AK-TC-D
